Trianglelab T-D500 Temperature Sensor 500℃ high temperature 3D printing for volcano E3D V6 HOTEND PEI PEEK Nylon carbon fiber ► Photo 1/5
Trianglelab T-D500 Temperature Sensor 500℃ high temperature 3D printing for volcano E3D V6 HOTEND PEI PEEK Nylon carbon fiber ► Photo 1/5
Trianglelab T-D500 Temperature Sensor 500℃ high temperature 3D printing for volcano E3D V6 HOTEND PEI PEEK Nylon carbon fiber ► Photo 2/5
Trianglelab T-D500 Temperature Sensor 500℃ high temperature 3D printing for volcano E3D V6 HOTEND PEI PEEK Nylon carbon fiber ► Photo 3/5

Photos of buyers

39 more
photos

Specifications

  • Brand Name: DFORCE
  • Item Type: Thermistor
  • Model Number: T-D500

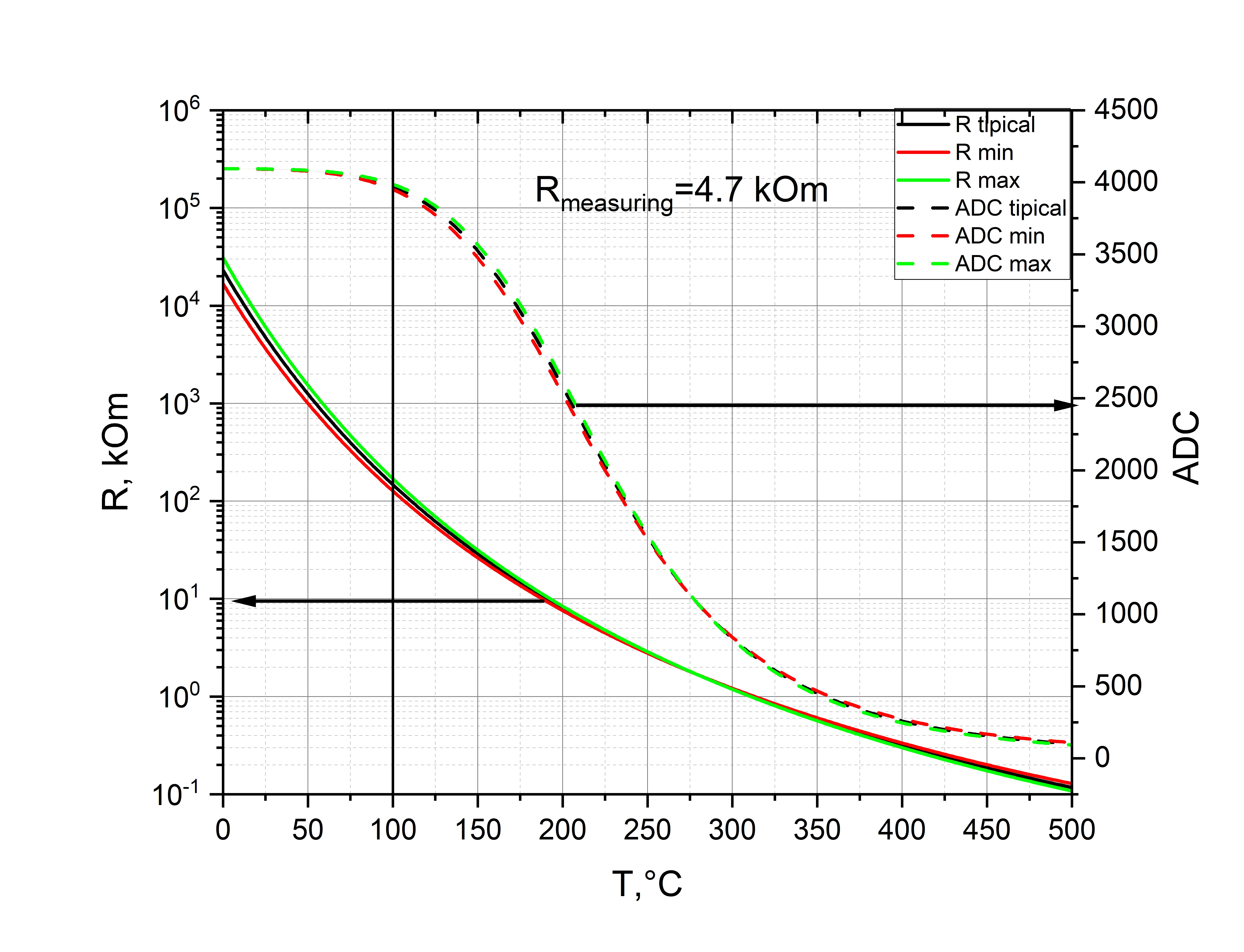
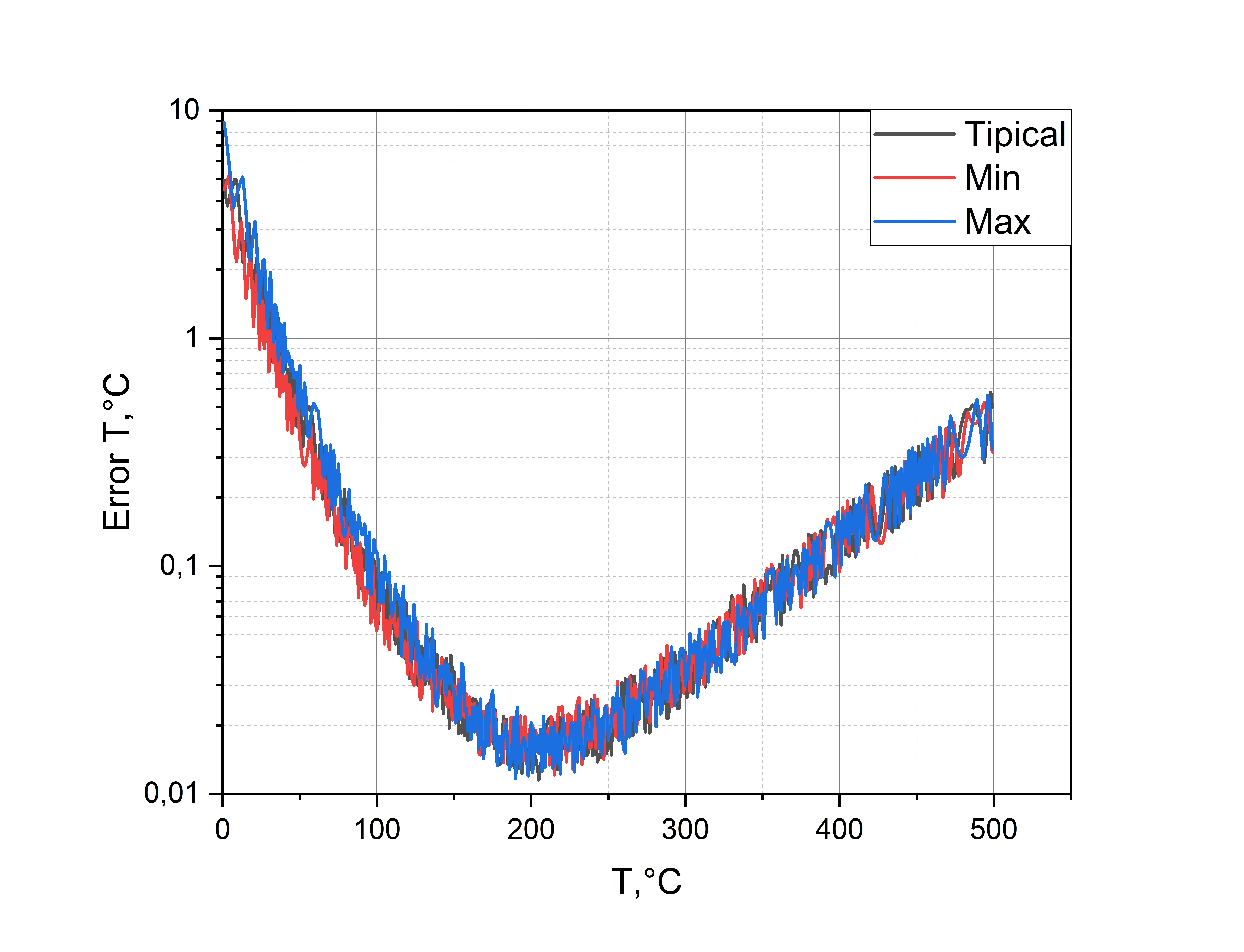
Trianglelab T-D500 Temperature Sensor 500℃ high temperature 3D printing for volcano E3D V6 HOTEND PEI PEEK Nylon carbon fiber

Seller:
Alitools rating:
95%
/
Aliexpress rating:
96%
11.30 34.86 $
100   orders
/
22   reviews
Rating: 4.8

Price history

Price drop notification

Out telegram bot will notify you once the price drops to the desirable one

Customer Reviews

S***s
February 1, 2021

Good quality & good support by trianglelab, as expected :)

g***n
January 28, 2021

Perfect. I installed it on my CR20PRO and just have to calibrate the sensor but it seems very good.

Anonymous